永盛首页
产品系列
智能阀(电/气)系列
球阀(电/气)系列
蝶阀(电/气)系列
自力式(新型)系列
专用阀
低温阀
特种阀
行业解决方案
炼油石化
精细化工
化纤行业
煤化工
冶金行业
空分配套
LNG行业
生物化工
电力行业
医药农药
有机硅多晶硅
新能源领域
服务中心
选型指南
品质保证
售后服务
联系我们
联系方式
留言板
关于永盛
永盛简介
企业文化
企业实力
荣誉资质
营销网络
新闻中心
公司动态
行业聚焦
阀门知识
193-5751-1950
产品资质
稳定可靠 • 精准快速
产品资质
企业荣誉
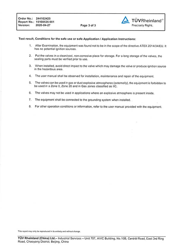
防爆证书(球阀)